Skip to content

HH CONSULTING & SERVICES STUDIO (Ish KODRA ESTATE)
Informacioni është i përditësuar sipas të dhënave të QKB/Rregjistër Biznesi deri në datën: 2021-10-01 08:32:28
JSON

NIPT: L41705012R
Administrator: Gëzim Kodra
Objekti i Veprimtarisë: Ndërmjetësim në shitje, blerje te sendeve të luajtshme dhe të palujatshme. Ndërmjetësim në marrje dhe dhënie me qira të sendeve të luajtshme dhe të paluajtshme, si dhe cdo transaksion tjeter ne funksion te permbushjes se objektit te veprimtarise ne fushe e real estate (pasurite e paluajteshme); Ndërmjetësim ose marrje përsipër të ndjekjes së praktikave ose kontraktimeve për të përfaqësuar persona për subjekte të tretë në institucione të ndryshme publike ose jopublike/firma/individë për ndjekje të procedurave të ndryshme sipas praktikave/problematikës; Te kryeje direkt ose te beje ndermjetesime per fushat: Konsulenca financiare, Planifikime biznesi dhe Modelime fmanciare, Vleresime ekonomike, Studime dhe vleresime tregu, Hartime per strategji marketingu, Auditime te brendeshme financiare. Te beje direkt ose me kontraktim, projektime te ndryshme objektesh, per ndertime, restaurime te objekteve dhe infrastruktures rrugore. Te beje Zbatime projektesh ne fushen e ndertimeve dhe nderhyrje rikonstruksioni per te gjithave llojet e objekteve dhe infrastruktures rrugore. Te beje vete ose te komtratoje persona te tjere per Supervizime te ndryshme ne ndertim objektesh dhe infrastrukture rrugore. Te beje direkt ose me ndermjetesim, Vleresime te pasurive te paluajteshme, Vleresime Mjedisore etj. Krijimi i shoqerive, dhe filialeve te tjera me persona fizik e juridik te vendit e te huaj; Shoqeria, mund te bleje, te marre me qera, pasuri te luajtshme ose te paluajtshme, si dhe te shfrytezoje te drejtat materiale, perfshire te drejten per te ofruar pasurine e saj per te marre kredi bankare etj.;Shoqeria mund te kryej cdo lloj operacioni tjeter tregtar per pasuri te luajteshme apo te paluajteshme, financiare te nevojshme per realizimin e qellimeve te shoqerise. Gjithashtu shoqeria mund te marre pjese ne prokurime te ndryshme ne Institucione publike/jopublike/Shoqeri Sh.a/ institucione private/firma/individ etj.
Emërtime të tjera Tregtare: HH CONSULTING & SERVICES STUDIO
Forma ligjore: Shoqëri me Përgjegjësi të Kufizuar SH.P.K
Viti i Themelimit: 01/05/2014
Rrethi: Tiranë
Shteti ku vepron: Shqipëri
Origjina e Kapitalit: Shqiperi
Kapitali Themeltar(Lekë): 100 000,00
Numri i pjesëve: 100
Lloji i pronësisë: Private
Nr. i administratorëve: 1
Femër/Mashkull: Mashkull
Statusi: Aktiv
Leje/Licensa: III.2.A - Veprimtaritë e ekspertizës lidhur me ndikimin në mjedis
Çështje Ligjore: I. Me date 01.12.2014, me vendim te ortakut te vetem, u pushua aktiviteti i shoqerise per nje periudhe te perkohshme. Statusi i shoqerise ndryshoi nga “Aktiv” ne “Pezulluar”.

II. Me date 01.09.2015, me vendim te asamblese se shoqerise, u miratua ndryshimi i statusit te shoqerise nga: “Pezulluar” ne “Aktiv”.
Ndryshime
Adresa:

Seli/Zyra Qendrore:
Tirane, Njesia Bashkiake Nr.7, Rruga Frederik Shiroka, Kulla 3, Shkalla 3, Kati 2, Nr.4

Akte. Tjetërsim Kapitali: Ekstrakt historik i regjistrit tregtar date 01.10.2021
Akti i themelimit
Kontrate per shitje kuotash date 31.01.2018
Kontrate per shitje kuotash date 23.05.2016
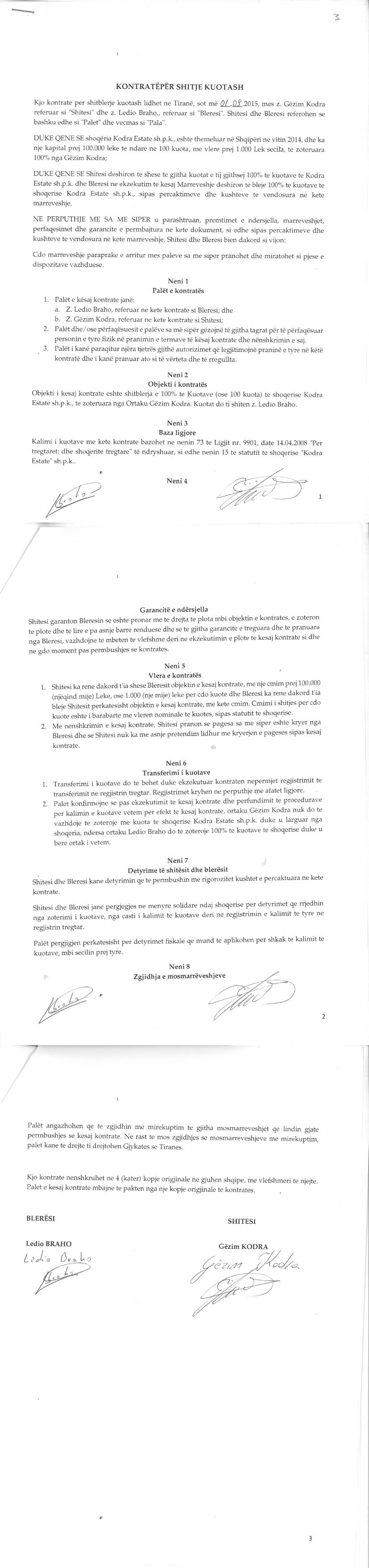
Kontrate per shitje kuotash date 01.09.2015
Dokumenta Financiare: Pasqyra e te ardhurave dhe shpenzimeve 2019
Pasqyra e te ardhurave dhe shpenzimeve 2020
Informacione Financiare
Transaksione Thesari 2019- Në vijmësi
Fitimi para Tatimit(Lekë) 2020: -263 728,00
Fitimi para Tatimit(Lekë) 2019: -1 243 350,00
Fitimi para Tatimit(Lekë) 2018: 9 107 825,00
Xhiro Vjetore(Lekë) 2020:2 241 176,00
Xhiro Vjetore(Lekë) 2019:1 318 065,00
Xhiro Vjetore(Lekë) 2018:14 249 266,00
Punuar Nga : A.Lala